服务热线:
本标准按照GB/T 1.1-2009给出的规则起草。
本标准代替《山东省区域性大气污染物综合排放标准》(DB37/ 2376-2013),与DB37/ 2376-2013相比主要技术变化如下:
——调整了标准范围;
——调整了部分行业或部分区域污染物排放控制要求;
——调整了部分行业基准氧含量;
——明确了达标判定方法。
现有企业在执行本标准前的过渡期内,执行《山东省区域性大气污染物综合排放标准》(DB37/ 2376-2013)。
本标准由山东省生态环境厅提出。
本标准由山东省环保标准化技术委员会归口。
本标准起草单位:山东省生态环境规划研究院。
本标准主要起草人:谢刚、史会剑、苏志慧、李玄、李昕婧。
本标准首次发布于2013年,本次为第一次修订。
区域性大气污染物综合排放标准
1 、范围
本标准规定了山东省固定源大气二氧化硫、氮氧化物及颗粒物三种污染物的排放限值和监测要求,以及标准的实施与监督等相关规定。本标准未作规定的控制指标,国家或山东省有相关标准及监测方法的,按相关标准要求执行。
本标准适用于山东省现有企业或生产设施的大气污染物排放管理,以及新建、改建、扩建项目的环境影响评价、环境保护设施设计、环境保护设施验收、排污许可及其投产后的大气污染物排放管理。
本标准不适用于火电厂、钢铁工业、建材工业、锅炉、饮食业油烟、生活垃圾焚烧及火葬场等企业或生产设施的大气污染物排放管理,上述企业或生产设施按山东省或国家相应污染物排放标准的有关要求执行。
2 、规范性引用文件
下列文件对于本文件的应用是必不可少的。凡是注日期的引用文件,仅所注日期的版本适用于本文件。凡是不注日期的引用文件,其最新版本(包括所有的修改单)适用于本文件。
GB/T 16157 固定污染源排气中颗粒物测定与气态污染物采样方法
HJ/T 42 固定污染源排气中氮氧化物的测定 紫外分光光度法
HJ/T 43 固定污染源排气中氮氧化物的测定 盐酸萘乙二胺分光光度法
HJ/T 56 固定污染源排气中二氧化硫的测定 碘量法
HJ 57 固定污染源废气 二氧化硫的测定 定电位电解法
HJ 75 固定污染源烟气(SO2、NOX、颗粒物)排放连续监测技术规范
HJ 76 固定污染源烟气(SO2、NOX、颗粒物)排放连续监测系统技术要求及检测方法
HJ/T 373 固定污染源监测质量保证与质量控制技术规范(试行)
HJ/T 397 固定源废气监测技术规范
HJ 629 固定污染源废气 二氧化硫的测定 非分散红外吸收法
HJ 675 固定污染源排气 氮氧化物的测定 酸碱滴定法
HJ 692 固定污染源废气 氮氧化物的测定 非分散红外吸收法
HJ 693 固定污染源废气 氮氧化物的测定 定电位电解法
HJ 819 排污单位自行监测技术指南 总则
HJ 836 固定污染源废气 低浓度颗粒物的测定 重量法
3 、术语和定义
下列术语和定义适用于本文件。
3.1
固定源 stationary source
燃烧设备以及生产过程中产生的通过排气筒向空中排放的废气污染源。
3.2
现有企业 existing facility
本标准实施之日前,已建成投产或环境影响评价文件已通过审批、审核或备案的企业或生产设施。
3.3
新建企业 new facility
本标准实施之日起,环境影响评价文件通过审批、审核或备案的新建、改建和扩建建设项目或生产设施。
3.4
标准状态 standard condition
温度为273.15 K,压力为101 325 Pa时的状态,简称“标态”。本标准规定的大气污染物排放浓度均指标准状态下干烟气中的数值。
3.5
炉窑干燥尾气 dry tail gas for kiln and furnace
利用炉窑产生的热烟气,掺混一定量的新鲜空气,对物料进行干燥过程中产生的废气。
3.6
单位产品基准排气量 benchmark exhaust volume per unit product
用于核定大气污染物排放浓度而规定的生产单位产品的排气量上限值。
3.7
氧含量 oxygen content
燃料燃烧时,烟气中含有多余的自由氧,通常以干基容积百分数来表示。
3.8
核心控制区 core control region
生态环境敏感度高的区域,包括各类自然保护区、风景名胜区和其他需要特殊保护的区域。
3.9
重点控制区 key control region
人口密度大、环境容量较小、生态环境敏感度较高的区域。
3.10
一般控制区 general control region
人口密度低、环境容量相对较大、生态环境敏感度相对较低的区域,即除核心控制区和重点控制区之外的其他区域。
4 、污染物排放控制要求
4.1 污染物排放控制区划分
依据生态环境敏感程度、人口密度、环境承载能力三个因素,将全省区域划分三类控制区,即核心控制区、重点控制区和一般控制区,由设区市人民政府划定,报省生态环境主管部门备案。
4.2 污染物排放控制要求
4.2.1 新建和现有企业自本标准实施之日起,按所在控制区执行本标准表1中的排放浓度限值,部分行业、工段还应按所在控制区从严执行表2中的相应排放浓度限值。
4.2.2 核心控制区内禁止新建污染大气环境的生产项目;建设其他设施,其污染物排放应满足表1中的“核心控制区”的排放浓度限值。

表1 大气污染物排放浓度限值

表2 部分行业、工段需进一步从严控制的指标和排放浓度限值
4.2.3 国务院生态环境主管部门或山东省人民政府明确规定执行大气污染物特别排放限值的地域范围和时间的,除应执行本标准外,还应按规定达到国家标准中特别排放限值的要求。
4.3 排气筒高度要求
排气筒的高度应不低于15 m(储库底、地坑及物料转运点单机除尘设施除外),具体高度按通过审批、审核或备案的环境影响评价文件要求确定。
5 、监测要求
5.1 污染物监测要求
5.1.1 企业应按照有关法律、环境监测管理办法及排污许可证等规定,建立企业监测制度,制定监测方案,对污染物排放状况及其周边环境质量的影响开展自行监测,保存原始监测记录,并公布监测结果。企业自行监测方案制定、监测质量保证和质量控制等应符合HJ/T 373、HJ 819和HJ 836的要求。
5.1.2 新建企业和现有企业安装污染物排放自动监控设备的要求,按HJ 75、HJ 76等相关要求及有关法律和规定执行。
5.1.3 排气筒应设置采样孔和监测平台,采样孔和平台建设按GB/T 16157、HJ 75、HJ 76、HJ/T 397和HJ 836等相关要求执行,同时设置规范的排污口标志。
5.1.4 实施监督性监测期间的采样频次和污染源采样方法应符合GB/T 16157、HJ/T 397、HJ 836和相关分析方法标准的要求。
5.1.5 对大气污染物排放浓度的测定采用表3所列的方法标准。本标准发布实施后,有新发布的国家环境监测分析方法标准,其方法适用范围相同的,也适用于本标准对应污染物的测定。

表3 大气污染物浓度测定方法标准
5.2 大气污染物基准氧含量排放浓度折算方法
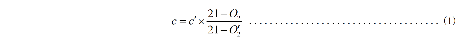
实测的大气污染物排放浓度,应按表4和公式(1)折算为基准氧含量排放浓度。国家、省规定了行业基准排气量的,按基准排气量进行折算。

表4 基准氧含量1

表4 基准氧含量2
大气污染物基准氧含量排放浓度计算公式
式中:
c ——大气污染物基准氧含量排放浓度,mg/m3;
c′ ——实测的大气污染物排放浓度,mg/m3;
O2′ ——实测的氧含量,%;
O2 ——基准氧含量,%。
6 、达标判定
6.1 各级生态环境部门按照相关手工监测技术规范获取的监测结果超过本标准排放浓度限值的,判定
为排放超标。各级生态环境部门在对企业进行监督性检查时,可以将现场即时采样或监测的结果,作为
判定排污行为是否符合排放标准以及实施相关环境保护管理措施的依据。
6.2 特殊工况下的达标判定按国家有关规定执行。
7 、实施与监督
本标准实施后,新制(修)订的国家或山东省排放标准中大气污染物的排放限值,通过审批、审核或
备案的环境影响评价文件,排污许可证中相应大气污染物的排放要求严于本标准的,按相应的排放标准
限值或要求执行。